基本信息:
中文名稱 6-氯吲哚-3-乙酸
中文別名 6-氯色胺鹽酸鹽;
英文名稱 2-(6-chloro-1H-indol-3-yl)acetic acid
英文別名 6-chloroindol-3-yl acetic acid;6-chloroindole-3-acetic acid;1H-Indole-3-aceticacid,6-chloro;
CAS號(hào) 1912-44-3
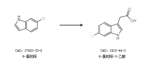
合成路線:
1.通過6-氯吲哚和氯乙腈合成6-氯吲哚-3-乙酸

2.通過6-氯吲哚合成6-氯吲哚-3-乙酸

中華試劑網(wǎng)提醒 合成路線僅供參考