基本信息:
中文名稱 (s)-4-(cbz-氨基)-5-甲基-3-氧代己酸叔丁酯
中文別名 (S)-4-(Cbz-氨基)-3-氧代-5-甲基己酸叔丁酯;
英文名稱 tert-butyl (4S)-5-methyl-3-oxo-4-(phenylmethoxycarbonylamino)hexanoate
CAS號 191731-16-5
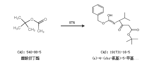
合成路線:
1.通過醋酸叔丁酯合成(s)-4-(cbz-氨基)-5-甲基-3-氧代己酸叔丁酯,收率約87%;

2.通過醋酸叔丁酯、CBZ-L-纈氨酸和N,N''-羰基二咪唑合成(s)-4-(cbz-氨基)-5-甲基-3-氧代己酸叔丁酯,收率約64%;

中華試劑網(wǎng)提醒 合成路線僅供參考