基本信息:
中文名稱 四正丁基鉛
英文名稱 tetrabutylplumbane
英文別名 Tetrabutyl-plumban;tetrabutyl-lead;PHTHALOCYANINE,FERRIC;Plumbane,tetrabutyl;tetrabutyl plumbane;KDQHJGWPOQNCMI-UHFFFAOYSA;LEAD TETRABUTYL;Tetrabutylblumban;tetraethyl lead;Tetra-n-Butyl lead;
CAS號 1920-90-7
合成路線:
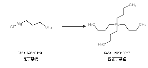
1.通過氯丁基鎂合成四正丁基鉛

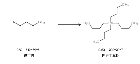
2.通過碘丁烷合成四正丁基鉛

中華試劑網(wǎng)提醒 合成路線僅供參考