基本信息:
中文名稱 1-(N-Boc-氨基)-3-環(huán)戊烯
中文別名 1-(Boc-氨基)-3-環(huán)戊烯;1-(BOC-氨基)-3-環(huán)戊烯;N-1-BOC-3-環(huán)戊烯胺;1-(N-叔丁氧羰基氨基)-3-環(huán)戊烯;
英文名稱 tert-butyl N-cyclopent-3-en-1-ylcarbamate
英文別名 tert-Butyl cyclopent-3-en-1-ylcarbamate;tert-butyl cyclopent-3-enylcarbamate;4-tert-butoxycarbonamidocyclopentene;cyclopent-3-enyl-carbamic acid tert-bulyl ester;N-1-Boc-amino-3-cyclopentene;cyclopent-3-enyl-carbamic acid tert-butyl ester;N-Boc-cyclopent-3-enyl amine;N-1-Boc-Amino-3-cyclopentene;N-Boc cyclopent-3-enamine;1-n-boc-amino-3-cyclopentene;
CAS號 193751-54-1
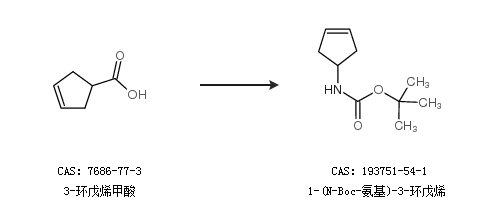
合成路線:
1.通過3-環(huán)戊烯甲酸合成1-(N-Boc-氨基)-3-環(huán)戊烯

2.通過3-環(huán)戊烯-1-醇和N-BOC草酸酰胺乙酯合成1-(N-Boc-氨基)-3-環(huán)戊烯,收率約51%;

中華試劑網(wǎng)提醒 合成路線僅供參考