基本信息:
中文名稱 2-甲基-5-溴苯并咪唑
中文別名 1H-苯并咪唑,6-溴-2-甲基;5-溴-2-甲基-1H-苯并[D]咪唑;
英文名稱 6-bromo-2-methyl-1H-benzimidazole
英文別名 6-bromo-2-methylbenzimidazole;5-bromo-2-methyl-1H-1,3-benzodiazole;5-Bromo-2-methylbenzoimidazole;5-Bromo-2-methyl-1H-benzimidazole;AmbkkkkK107;5-BROMO-2-METHYLBENZIMIDAZOLE;
CAS號 1964-77-8
合成路線:
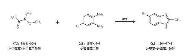
1.通過N-甲氧基-N-甲基乙酰胺和4-溴鄰苯二胺合成2-甲基-5-溴苯并咪唑,收率約84%;

2.通過原乙酸三甲酯和4-溴-2-硝基苯胺合成2-甲基-5-溴苯并咪唑,收率約90%;

中華試劑網(wǎng)提醒 合成路線僅供參考