基本信息:
中文名稱 3-甲基-2-氧代丁酰乙酯
中文別名 3-甲基-2-酮丁酸乙酯;二甲基丙酮酸乙酯;
英文名稱 ethyl 3-methyl-2-oxobutanoate
英文別名 ethyl 2-oxo-3-methylbutyrate;ETHYL 3-METHYL-2-OXOBUTYRATE;Ethyl 3-methyl-2-oxobutyrate;Ethyl dimethylpyruvate;3-methyl-2-oxo-butyric acid ethyl ester;ethyl 2-oxo-3-methylbutanoate;Ketovaline ethyl ester;i-PrCOCO2Et;ethyl ester of 3-methyl-2-oxo-butanioc acid;
CAS號 20201-24-5
合成路線:
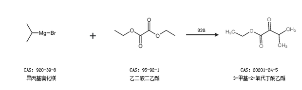
1.通過異丙基溴化鎂和乙二酸二乙酯合成3-甲基-2-氧代丁酰乙酯,收率約83%;

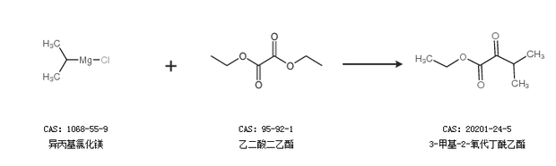
2.通過異丙基氯化鎂和乙二酸二乙酯合成3-甲基-2-氧代丁酰乙酯

中華試劑網(wǎng)提醒 合成路線僅供參考