基本信息:
中文名稱 已二酸酐
中文別名 己二酸酐;
英文名稱 ADIPIC ANHYDRIDE
英文別名 Hexahydrooxepin-2,7-dione;2,7-oxepanedione;adipic acid anhydride;oxepane-2,7-dione;hexanedioic anhydride;hexanedioic acid anhydride;
CAS號 2035-75-8
合成路線:
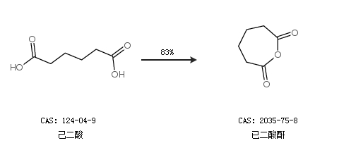
1.通過己二酸合成已二酸酐,收率約83%;

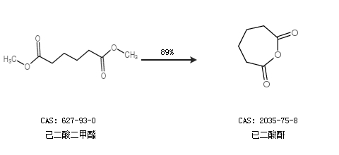
2.通過己二酸二甲酯合成已二酸酐,收率約89%;

中華試劑網(wǎng)提醒 合成路線僅供參考