基本信息:
中文名稱 1-正-丁基-4-碘苯
中文別名 1-正丁基-4-碘苯;
英文名稱 1-butyl-4-iodobenzene
英文別名 4-n-Butyliodobenzene;P-BUTYLIODOBENZENE;1-n-butyl-4-iodobenzene;4-butyliodobenzene;1-Butyl-4-iodobenzene;1-iodo-4-n-butylbenzene;4-n-Bu-C6H4-I;4-N-AMYLIODOBENZENE;4-n-butyl-1-iodobenzene;
CAS號 20651-67-6
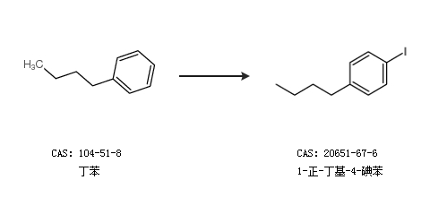
合成路線:
1.通過正丁基鋰和1,4-二碘苯合成1-正-丁基-4-碘苯,收率約8%;

2.通過丁苯合成1-正-丁基-4-碘苯

中華試劑網(wǎng)提醒 合成路線僅供參考