基本信息:
中文名稱 2-乙基-4,5-二苯基噁唑
英文名稱 2-ethyl-4,5-diphenyl-1,3-oxazole
英文別名 Oxazole,2-ethyl-4,5-diphenyl;2-Aethyl-4,5-diphenyl-oxazol;2-ethyl-4,5-diphenyloxazole;
CAS號 20662-94-6
合成路線:
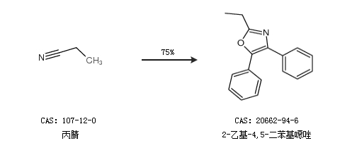
1.通過丙腈合成2-乙基-4,5-二苯基噁唑,收率約75%;

2.通過乙基溴化鎂合成2-乙基-4,5-二苯基噁唑,收率約97%;

中華試劑網(wǎng)提醒 合成路線僅供參考