基本信息:
中文名稱 4-(4-溴苯基)-2-巰基噻唑
英文名稱 4-(4-bromophenyl)-3H-1,3-thiazole-2-thione
英文別名 4-(p-Bromophenyl)-2-mercaptothiazole;2-Mercapto-4-(p-bromophenyl)thiazole;4-(4''-bromophenyl)-2-mercaptothiazole;4-(4-Bromophenyl)-2-thiazolethiol;4-(4-BROMOPHENYL)-1,3-THIAZOLE-2-THIOL;4-(4-Bromophenyl)-2(3H)-thiazolethione;2-mercapto-4-(4-bromophenyl)thiazole;4-(4-bromo-phenyl)-3H-thiazole-2-thione;2-Thiazolethiol,4-(p-bromophenyl)-(7CI,8CI);
CAS號 2103-95-9
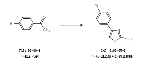
合成路線:
1.通過二硫代氨基甲酸銨和2,4''-二溴苯乙酮合成4-(4-溴苯基)-2-巰基噻唑,收率約99%;

2.通過4-溴苯乙酮合成4-(4-溴苯基)-2-巰基噻唑

中華試劑網(wǎng)提醒 合成路線僅供參考