基本信息:
中文名稱 5-(1,3-苯并噻唑-2-基)戊酸
英文名稱 5-(1,3-benzothiazol-2-yl)pentanoate
英文別名 5-benzothiazol-2-yl-pentanoic acid;5-Benzothiazol-2-yl-valeriansaeure;5-benzothiazol-2-yl-valeric acid;
CAS號(hào) 21224-20-4
合成路線:
1.通過(guò)已二酸酐和2-氨基苯硫醇合成5-(1,3-苯并噻唑-2-基)戊酸

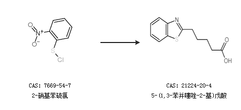
2.通過(guò)2-硝基苯硫氯合成5-(1,3-苯并噻唑-2-基)戊酸

中華試劑網(wǎng)提醒 合成路線僅供參考