基本信息:
中文名稱 2-[(3,4-二氯苯氧基)甲基]環(huán)氧乙烷
英文名稱 2-[(3,4-DICHLOROPHENOXY)METHYL]OXIRANE
英文別名 (2S)-3-(3,4-dichlorophenoxy)-1,2-epoxypropane;1-(3,4-Dichlorphenoxy)-2,3-epoxypropan;Propane,1-(2,4-dichlorophenoxy);2-(3,4-dichloro-phenoxymethyl)-oxirane;OR0431;(3,4-dichloro-phenoxymethyl)-oxirane;
CAS號 21320-30-9
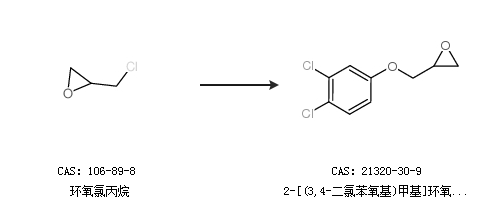
合成路線:
1.通過3.4-二氯苯酚和環(huán)氧氯丙烷合成2-[(3,4-二氯苯氧基)甲基]環(huán)氧乙烷,收率約92%;

2.通過環(huán)氧氯丙烷合成2-[(3,4-二氯苯氧基)甲基]環(huán)氧乙烷

中華試劑網(wǎng)提醒 合成路線僅供參考