基本信息:
中文名稱 2''-甲氧基尿苷
中文別名 2’-甲氧基尿苷;2''-O-甲基尿苷;
英文名稱 2''-O-methyluridine
英文別名 2-O-Methyluridine;2''-O-Methyluridine;1-[(2S,3S,4R,5S)-4-hydroxy-5-(hydroxyMethyl)-3-Methoxyoxolan-2-yl]-1,2,3,4-tetrahydropyriMidine-2,4-dione;2''-OMe uridine;2’-OMeUridine;1-[(2R,3R,4R,5R)-4-hydroxy-3-methoxy-5-methylol-tetrahydrofuran-2-yl]pyrimidine-2,4-quinone;2''''-O-METHYLURIDINE CRYSTALLINE;1-[(2R,3R,4R,5R)-4-hydroxy-5-(hydroxymethyl)-3-methoxy-oxolan-2-yl]pyrimidine-2,4-dione;2''-O-METHYLURIDINE (CHIRAL);1-((2R,3R,4R,5R)-4-Hydroxy-5-(hydroxyMethyl)-3-Methoxytetrahydrofuran-2-yl)pyriMidine-2,4(1H,3H)-dione;2''-O-methyl-uridine;2''-O-GALLOYLHYPERIN,CERTIFIED REFERENCE MATERIAL;
CAS號(hào) 2140-76-3
合成路線:
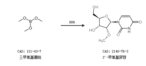
1.通過三甲氧基硼烷合成2''-甲氧基尿苷,收率約88%;

2.通過2,2''-脫水尿苷和原甲酸三甲酯合成2''-甲氧基尿苷,收率約90%;

中華試劑網(wǎng)提醒 合成路線僅供參考