基本信息:
中文名稱(chēng) 4-羥基-睪酮
英文名稱(chēng) 4-Hydroxy Testosterone
英文別名 (8R,9S,10R,13S,14S,17S)-4,17-dihydroxy-10,13-dimethyl-1,2,6,7,8,9,11,12,14,15,16,17-dodecahydrocyclopenta[a]phenanthren-3-one;
CAS號(hào) 2141-17-5
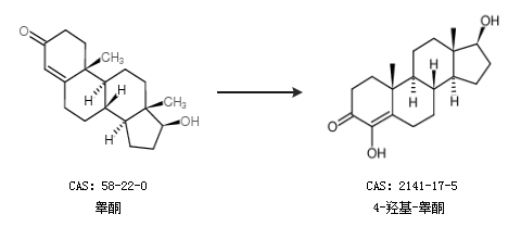
合成路線:
1.通過(guò)本膽烷-17β-醇-3-酮合成4-羥基-睪酮,收率約15%;

2.通過(guò)睪酮合成4-羥基-睪酮

中華試劑網(wǎng)提醒 合成路線僅供參考