基本信息:
中文名稱 (S)-3-(Boc-氨基)哌啶
中文別名 S-3-N-Boc-氨基哌啶;R-3-N-Boc-氨基哌啶;(S)-3-(N-叔丁氧羰基氨基)哌啶;(S)-3=Boc-氨基哌啶;(3S)-3-氨基哌啶;(S)-3-(叔丁氧羰氨基)哌啶;(S)-3-(叔丁氧羰氨基)哌啶;(S)-3-Boc-氨基哌啶;(S)-3-(叔丁氧羰基氨基)哌啶;(S)-3-BOC氨基哌啶;(S)-3-叔丁氧羰基氨基哌啶;
英文名稱 tert-butyl N-[(3S)-piperidin-3-yl]carbamate
英文別名 (S)-3-N-Boc-Aminopiperidine;(S)-3-(tert-Butoxycarbonylamino)piperidine;(S)-tert-Butyl piperidin-3-ylcarbamate;(S)-3-Boc-Aminopiperidine;(S)-3-(BOC-Amino)piperidine;
CAS號(hào) 216854-23-8
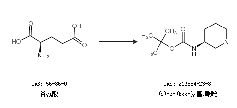
合成路線:
1.通過(guò)(S)-3-(Boc-氨基)-2-哌啶酮合成(S)-3-(Boc-氨基)哌啶,收率約30%;

2.通過(guò)谷氨酸合成(S)-3-(Boc-氨基)哌啶

中華試劑網(wǎng)提醒 合成路線僅供參考