基本信息:
中文名稱 N-對溴苯吡咯烷
中文別名 1-(4-溴苯基)吡咯烷;4-(N-四氫吡咯基)溴苯;1-(4-溴苯基)吡咯;
英文名稱 1-(4-Bromophenyl)pyrrolidine
英文別名 1-(4-BROMOPHENYL)PYRROLIDINE;1-(4-BroMophenyl)pyrrolidine;N-(4-Bromophenyl)pyrrolidine;
CAS號 22090-26-2
合成路線:
1.通過四氫吡咯和對溴碘苯合成N-對溴苯吡咯烷,收率約84%;

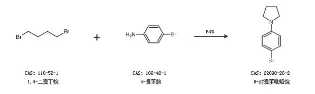
2.通過1,4-二溴丁烷和4-溴苯胺合成N-對溴苯吡咯烷,收率約64%;

中華試劑網(wǎng)提醒 合成路線僅供參考