基本信息:
中文名稱(chēng) 3,5-二氯-N-羥基苯甲脒
英文名稱(chēng) 3,5-dichloro-N''-hydroxybenzenecarboximidamide
英文別名 Benzenecarboximidamide,3,5-dichloro-N-hydroxy;3,5-DICHLORO-N-HYDROXY-BENZAMIDINE;3,5-Dichlor-benzamidoxim;Benzamidoxime,3,5-dichloro-(8CI);
CAS號(hào) 22179-81-3
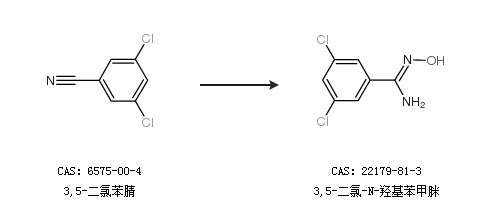
合成路線:
1.通過(guò)3,5-二氯苯腈合成3,5-二氯-N-羥基苯甲脒

中華試劑網(wǎng)提醒 合成路線僅供參考