基本信息:
中文名稱 苯基膦酸二甲酯
中文別名 苯膦酸二甲酯;
英文名稱 dimethoxyphosphorylbenzene
英文別名 Ph-P(O)(OMe)2;Dimethyl Benzenephosphonate;Benzenephosphonic Acid Dimethyl Ester;O,O-Dimethyl phenylphosphonate;Phosphonic acid,phenyl-,dimethyl ester;Dimethyl benzenephosphonate;Dimethyl Phenylphosphonate;Phosphonic acid,phenyl-,O,O-dimethyl ester;dimethyl (phenyl)phosphonate;Phenylphosphonic acid dimethyl ester;PHENYLPHOSPHONIC ACID DIMETHYL ESTER;benzenephosphonic acid dimethyl ester;
CAS號 2240-41-7
合成路線:
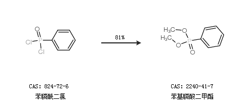
1.通過苯膦酰二氯合成苯基膦酸二甲酯,收率約81%;

2.通過2-(三甲基硅)苯基三氟甲烷磺酸鹽和三甲氧基磷合成苯基膦酸二甲酯,收率約90%;

中華試劑網(wǎng)提醒 合成路線僅供參考