基本信息:
中文名稱 (R)-N-BOC-氮雜環(huán)丁烷-2-羧酸
中文別名 (R)-1-叔丁氧羰基-氮雜環(huán)丁烷-2-甲酸;1-BOC-D-吖啶-2-羧酸;(R)-N-BOC-氮雜環(huán)丁烷羧酸;
英文名稱 (2R)-1-[(2-methylpropan-2-yl)oxycarbonyl]azetidine-2-carboxylic acid
英文別名 (R)-1-Boc-azetidine-2-carboxylic acid;(2R)-N-t-butoxycarbonylazetidine-2-carboxylic acid;(R)-N-(tert-butoxycarbonyl)azetidine-2-carboxylic acid;FC0247;1-BOC-azetidine-2-(R)-carboxylic acid;BH274;(2R)-1-tert-butoxycarbonylazetidine-2-carboxylic acid;(R)-N-Boc-azetidine carboxylic acid;tert-butoxycarbonyl-D-azetidine-2-carboxylic acid;Boc-D-Azetidine-2-carboxylic acid;(R)-N-Boc-azetidine-2-carboxylic acid;(R)-1-(tert-butoxycarbonyl)azetidine-2-carboxylic acid;
CAS號(hào) 228857-58-7
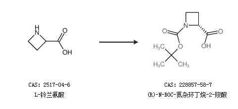
合成路線:
1.通過(guò)(R)-氮雜環(huán)丁烷-2-羧酸合成(R)-N-BOC-氮雜環(huán)丁烷-2-羧酸,收率約99%;

2.通過(guò)L-鈴蘭氨酸合成(R)-N-BOC-氮雜環(huán)丁烷-2-羧酸

中華試劑網(wǎng)提醒 合成路線僅供參考