基本信息:
中文名稱 3-氨甲基哌啶
中文別名 3-(氨基甲基)哌啶;3-(氨甲基)哌啶;
英文名稱 piperidin-3-ylmethanamine
英文別名 EINECS 245-428-0;3-piperidinemethanamine;piperidine-3-methylamine;3-(Aminomethyl)piperidine;3-piperidylmethylamine;
CAS號 23099-21-0
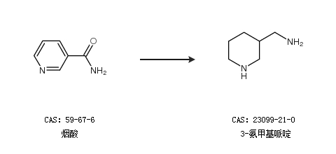
合成路線:
1.通過3-哌啶甲酰胺合成3-氨甲基哌啶,收率約56%;

2.通過煙酸合成3-氨甲基哌啶

中華試劑網(wǎng)提醒 合成路線僅供參考