基本信息:
中文名稱 2-辛烯醛
英文名稱 oct-2-enal
英文別名 p-toluenesulfonic acid 1-methyl-heptyl ester;2-Octanol,4-methylbenzenesulfonate;2-octen-1-al;2-octyl tosylate;octan-2-yl 4-methylbenzenesulfonate;1-methylheptyl p-toluenesulfonate;2-octanyl 4-methylbenzenesulfonate;oct-2-en-1-al;trans-2-octenal;
CAS號(hào) 2363-89-5
合成路線:
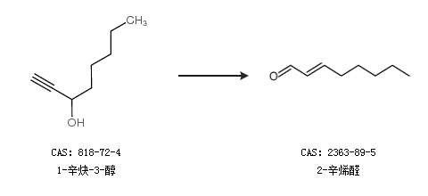
1.通過(guò)1-辛炔-3-醇合成2-辛烯醛

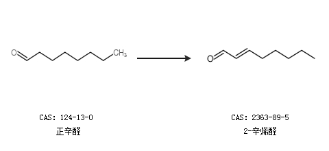
2.通過(guò)正辛醛合成2-辛烯醛

中華試劑網(wǎng)提醒 合成路線僅供參考