基本信息:
中文名稱 2-氧代-1-哌嗪乙酸
英文名稱 2-(2-oxopiperazin-1-yl)acetic acid
英文別名 1-Piperazineaceticacid,2-oxo;2-(2-oxopiperazino)acetic acid;carboxymethyl-2-oxopiperazine;Ethylendiamin-N,N''-diessigsaeurelactam;2-Oxo-1-piperazinessigsaeure;(2-oxo-piperazin-1-yl)-acetic acid;2-Oxo-1-piperazineacetic acid;
CAS號 24860-46-6
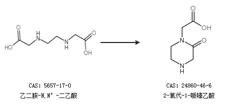
合成路線:
1.通過乙二胺-N,N’-二乙酸合成2-氧代-1-哌嗪乙酸

中華試劑網(wǎng)提醒 合成路線僅供參考