基本信息:
中文名稱 (R)-(-)-哌啶-3-甲酸
中文別名 (R)-(-)-哌啶羧酸;(R)-3-哌啶甲酸;(R)-(-)-哌啶甲酸;(R)-(–)-甲酸哌啶;(R)-(-)-3-哌啶甲酸;
英文名稱 (R)-(-)-Nipecotic acid
英文別名 (R)-(–)-3-Piperidinecarboxylic acid;(R)-Piperidine-3-carboxylic acid;(R)-(-)-Nipecotic Acid;(R)-(-)-3-Piperidinecarboxylic Acid;D-Piperidine-3-carboxylic acid;
CAS號(hào) 25137-00-2
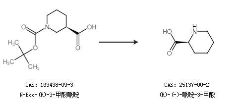
合成路線:
1.通過(guò)1,2,5,6-四氫吡啶-3-羧酸鹽酸鹽合成(R)-(-)-哌啶-3-甲酸

2.通過(guò)N-Boc-(R)-3-甲酸哌啶合成(R)-(-)-哌啶-3-甲酸

中華試劑網(wǎng)提醒 合成路線僅供參考