基本信息:
中文名稱 甲磺酰乙酸
中文別名 2-甲磺?;宜?甲砜基乙酸;
英文名稱 2-methylsulfonylacetic acid
英文別名 2-methansulfonylacetic acid;2-Methanesulfonylacetic acid;methylsulfonylthioacetic acid;methanesulphonyl acetic acid;Methanesulfonylacetic Acid;2-(Methylsulfonyl)acetic acid;Methylsulfonylacetic acid;METHANESULFONYLACETIC ACID;
CAS號 2516-97-4
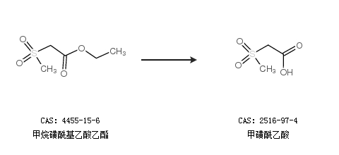
合成路線:
1.通過(甲硫基)乙酸合成甲磺酰乙酸,收率約82%;

2.通過甲烷磺?;宜嵋阴ズ铣杉谆酋R宜?br>

中華試劑網(wǎng)提醒 合成路線僅供參考