基本信息:
中文名稱 D-谷氨酸叔丁酯
英文名稱 (4R)-4-amino-5-[(2-methylpropan-2-yl)oxy]-5-oxopentanoic acid
英文別名 H-D-Glu-OtBu;4-tert-butoxycarbonyl aminobutyric acid;(R)-4-Amino-5-(tert-butoxy)-5-oxopentanoic acid;h-d-glu-otbu;4-t-butoxycarbonyl aminobutyric acid;glutamic acid-di-t-butyl ester;
CAS號 25456-76-2
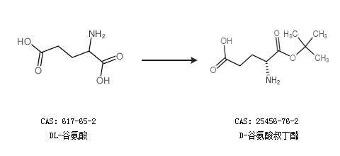
合成路線:
1.通過DL-谷氨酸合成D-谷氨酸叔丁酯

中華試劑網(wǎng)提醒 合成路線僅供參考