基本信息:
中文名稱 3-乙基-1H-吡唑-5-羧酸乙酯
英文名稱 Ethyl 3-ethyl-1H-pyrazole-5-carboxylate
英文別名 ethyl 3-ethyl-1 H-pyrazole-5-carboxylate;5-ethyl-1(2)H-pyrazole-3-carboxylic acid ethyl ester;3-Ethylpyrazol-5-carbonsaeure-ethylester;5-ethylhexahydro-1,3,5-triazin-2-one;5-ethyl-[1,3,5]triazinan-2-one;1-Ethyl-hexahydro-s-triazin-4-on;
CAS號 26308-40-7
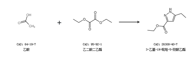
合成路線:
1.通過乙二酸二乙酯合成3-乙基-1H-吡唑-5-羧酸乙酯

2.通過乙酸和乙二酸二乙酯合成3-乙基-1H-吡唑-5-羧酸乙酯

中華試劑網(wǎng)提醒 合成路線僅供參考