基本信息:
中文名稱 3,4’-二氨基苯酰替苯胺
中文別名 3,4''-二氨基苯酰替苯胺;
英文名稱 3-amino-N-(4-aminophenyl)benzamide
英文別名 3-Amino-benzoesaeure-(4-amino-anilid);3-amino-benzoic acid-(4-amino-anilide);BB_SC-6770;3,4''-Diaminobenzanilid;N-(3-Amino-benzoyl)-p-phenylendiamin;3,4''-Diamino Benzanilide;
CAS號 2657-93-4
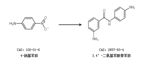
合成路線:
1.通過4-硝基苯胺合成3,4’-二氨基苯酰替苯胺

中華試劑網(wǎng)提醒 合成路線僅供參考