基本信息:
中文名稱 5-硝基-2-(1-吡咯烷)吡啶
中文別名 5-硝基-2-(吡咯烷-1-基)吡啶;
英文名稱 5-nitro-2-pyrrolidin-1-ylpyridine
英文別名 5-nitro-2-pyrrolidinylpyridine;2-pyrrolidino-5-nitropyridine;
CAS號 26820-63-3
合成路線:
1.通過四氫吡咯和2-溴-5-硝基吡啶合成5-硝基-2-(1-吡咯烷)吡啶,收率約85%;

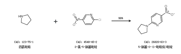
2.通過四氫吡咯和2-氯-5-硝基吡啶合成5-硝基-2-(1-吡咯烷)吡啶,收率約99%;

中華試劑網(wǎng)提醒 合成路線僅供參考