基本信息:
中文名稱 4-氯-7-氟喹啉-3-羧酸乙酯
英文名稱 ethyl 4-chloro-7-fluoroquinoline-3-carboxylate
英文別名 3-Quinolinecarboxylic acid,4-chloro-7-fluoro-,ethyl ester;4-Chloro-7-fluoroquinoline-3-carboxylic acid ethyl ester;
CAS號 26893-13-0
合成路線:
1.通過7-氟-4-羥基-3-喹啉羧酸乙酯合成4-氯-7-氟喹啉-3-羧酸乙酯,收率約87%;

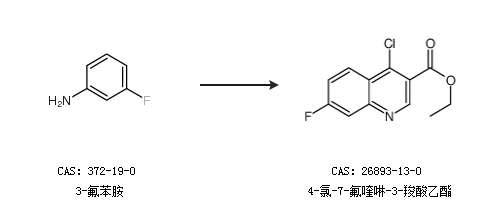
2.通過3-氟苯胺合成4-氯-7-氟喹啉-3-羧酸乙酯

中華試劑網(wǎng)提醒 合成路線僅供參考