基本信息:
中文名稱 4-氟-DL-谷氨酸
中文別名 (±)-2-氨基-4-氟戊二酸;
英文名稱 4-FLUORO-DL-GLUTAMIC ACID
英文別名 DL-erythro-4-fluoroglutamic acid;4-Fluoro-Glutamic Acid;D,L-erythro,threo-4-fluoroglutamic acid;2-Amino-4-fluoropentane-1,5-dioic acid;4-Fluoro-2-aminopentanedioic acid;erythro-4-fluoroglutamic acid;DL-4-FLUOROGLUTAMIC ACID;threo-4-fluoroglutamic acid;H-4-F-DL-Glu-OH;
CAS號 2708-77-2
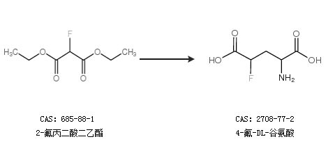
合成路線:
1.通過2-氟丙二酸二乙酯合成4-氟-DL-谷氨酸

中華試劑網(wǎng)提醒 合成路線僅供參考