基本信息:
中文名稱 1,2,3-苯并噻二唑
英文名稱 1,2,3-BENZOTHIADIAZOLE
英文別名 1,3-Benzothiadiazole;benzo-1,2,3-thiadizole;benzo-1,2,3-thiadiazole;1,2,3-benzothiadiazol;
CAS號(hào) 273-77-8
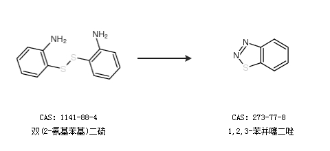
合成路線:
1.通過(guò)2-氨基苯硫醇合成1,2,3-苯并噻二唑,收率約97%;

2.通過(guò)雙(2-氨基苯基)二硫合成1,2,3-苯并噻二唑

中華試劑網(wǎng)提醒 合成路線僅供參考