基本信息:
中文名稱 4-甲氧基-2-萘胺
中文別名 4-甲氧基-2-氨基萘;4-甲氧基-β-萘胺;
英文名稱 4-methoxynaphthalen-2-amine
英文別名 4-Methoxy-b-naphthylamine;4-Methoxy-2-naphthylamine;3-amino-1-methoxynaphthalene;2-amino-4-methoxynaphthalene;4-methoxy-2-naphthalenamine;
CAS號 2764-95-6
合成路線:
1.通過1-甲氧基-3-硝基萘合成4-甲氧基-2-萘胺

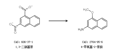
2.通過1,3-二硝基萘合成4-甲氧基-2-萘胺

中華試劑網(wǎng)提醒 合成路線僅供參考