基本信息:
中文名稱 [4-(1,3,4-噁二唑-2-基)苯基]硼酸
英文名稱 [4-(1,3,4-oxadiazol-2-yl)phenyl]boronic acid
英文別名 [4-(1,3,4-oxadiazol-2-yl) phenyl]boronic acid;Boronic acid,[4-(1,3,4-oxadiazol-2-yl)phenyl];
CAS號 276694-22-5
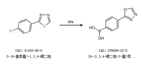
合成路線:
1.通過2-(4-溴苯基)-1,3,4-噁二唑和硼酸三異丙酯合成[4-(1,3,4-噁二唑-2-基)苯基]硼酸,收率約82%;

2.通過2-(4-溴苯基)-1,3,4-噁二唑合成[4-(1,3,4-噁二唑-2-基)苯基]硼酸,收率約88%;

中華試劑網(wǎng)提醒 合成路線僅供參考