基本信息:
中文名稱 (S)-1-(2-吡啶基)乙胺
中文別名 (S)-1-(吡啶-2-基)乙胺;(R)-1-吡啶-2-乙胺;
英文名稱 (S)-1-Pyridin-2-yl-ethylamine
英文別名 (-)-(S)-1-(2-Pyridyl)ethanamine;[(1R)-1-(2-pyridinyl)ethyl]amine;(R)-1-(pyridin-2-yl)ethylamine;(S)-2-(1-Aminoethyl)pyridine;(aS)-a-Methyl-2-PyridineMethanaMine;(S)-1-(2-Pyridyl)ethylaMine;(R)-1-(pyridine-2-yl)ethanaMine;(R)-1-methyl-1-(pyridin-2-yl)methanamine;(S)-1-(2-Pyridyl)ethylamine;(R)-1-(pyridinyl-2-yl)ethylamine;2-PyridineMethanaMine,a-Methyl-,(aS);(R)-1-Pyridine-2-yl-ethylamine;
CAS號 27854-90-6
合成路線:
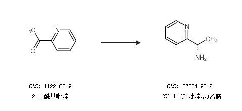
1.通過2-乙?;拎ず铣?S)-1-(2-吡啶基)乙胺

2.通過1-(2-吡啶)乙胺和乙酸乙酯合成(S)-1-(2-吡啶基)乙胺

中華試劑網(wǎng)提醒 合成路線僅供參考