基本信息:
中文名稱 (5R,6S)-5,6-二苯基嗎啉-2-酮
中文別名 (5R,6S)-5,6-二苯基-2-嗎啉酮;5R,6S)-2,3,5,6-四氫-5,6-二苯基-1,4-惡嗪-2-酮;5R,6S-二苯基嗎啉-2-酮;
英文名稱 (5R,6S)-5,6-Diphenyl-2-morpholinone
英文別名 (5R,6S)-5,6-diphenylmorpholin-2-one;(5R,6S)-2,3,5,6-tetrahydro-5,6-diphenyl-1,4-oxazin-2-one;2,3-diphenyl-morpholin-2-one;(2S,3R)-2,3,5,6-tetrahydro-2,3-diphenyl-1,4-oxazin-6-one;(5R,6S)-tetrahydro-5,6-diphenyl-2H-1,4-oxazin-2-one;(5R,6S)-5,6-diphenyl-4-morpholin-2-one;2-Morpholinone,5,6-diphenyl-,(5R,6S);(5R,6S)-2,3,5,6-tetrahydro-5,6-diphenyl-1,4-oxazin;(5R,6S)-5,6-Diphenylmorpholin-2-one;5R,6S-Diphenyl-2-morpholinone;
CAS號 282735-66-4
合成路線:
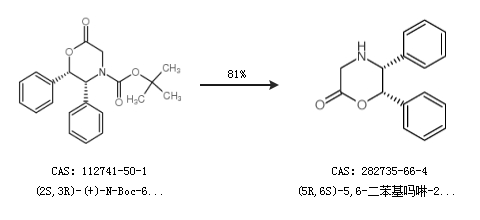
1.通過(2S,3R)-(+)-N-Boc-6-氧代-2,3-二苯基嗎啉合成(5R,6S)-5,6-二苯基嗎啉-2-酮,收率約81%;

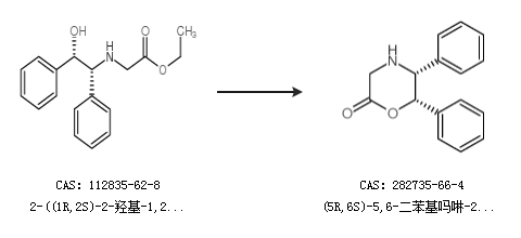
2.通過2-((1R,2S)-2-羥基-1,2-二苯基乙基氨基)乙酸乙酯合成(5R,6S)-5,6-二苯基嗎啉-2-酮

中華試劑網(wǎng)提醒 合成路線僅供參考