基本信息:
中文名稱 2-(4-氨基苯基)丁酸
中文別名 Α-(對氨基苯基)丁酸;
英文名稱 2-(4-aminophenyl)butanoic acid
英文別名 2-(p-Aminophenyl)butyric acid;(+-)-2-(4-amino-phenyl)-butyric acid;2-(4-Amino-phenyl)-buttersaeure;a-(p-Aminophenyl)butyric acid;?-(p-Aminophenyl)butyric acid;BUTYRIC ACID,2-(p-AMINOPHENYL);
CAS號 29644-97-1
合成路線:
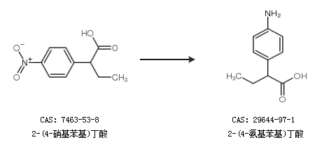
1.通過2-(4-硝基苯基)丁酸合成2-(4-氨基苯基)丁酸

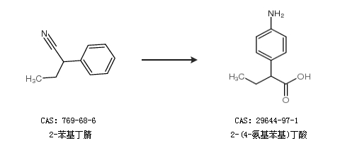
2.通過2-苯基丁腈合成2-(4-氨基苯基)丁酸

中華試劑網(wǎng)提醒 合成路線僅供參考