基本信息:
中文名稱 2-[(2-乙氧基-2-氧代乙基)氨基]-2-氧代乙酸乙酯
英文名稱 ethyl 2-[(2-ethoxy-2-oxoethyl)amino]-2-oxoacetate
英文別名 [(2-ethoxy-2-oxoethyl)amino]oxoacetic acid ethyl ester;Ethyl 2-((2-ethoxy-2-oxoethyl)amino)-2-oxoacetate;N-ethoxycarbonylmethyl-oxalamic acid ethyl ester;ethyl 2-[(2-ethoxy-1,2-dioxoethyl)amino]acetate;Oxamidsaeure-N-essigsaeure-diaethylester;N-Aethoxyoxalyl-glycin-aethylester;ethyl N-ethoxalylglycinate;N-ethoxyoxalyl-glycine ethyl ester;
CAS號 29655-79-6
合成路線:
1.通過甘氨酸乙酯鹽酸鹽和草酰氯單乙酯合成2-[(2-乙氧基-2-氧代乙基)氨基]-2-氧代乙酸乙酯,收率約94%;

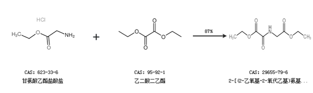
2.通過甘氨酸乙酯鹽酸鹽和乙二酸二乙酯合成2-[(2-乙氧基-2-氧代乙基)氨基]-2-氧代乙酸乙酯,收率約87%;

中華試劑網(wǎng)提醒 合成路線僅供參考