基本信息:
中文名稱 4,4-二碘聯(lián)苯
中文別名 4,4''-二碘聯(lián)苯;4,4''-二碘代聯(lián)苯;4,4`-二碘聯(lián)苯;4,4''-二碘雙苯;4,4’-二碘代聯(lián)苯;4,4-二碘聯(lián)代苯;
英文名稱 4,4''-Diiodobiphenyl
英文別名 4,4′-Diiodobiphenyl;4,4‘-Diiodobiphenyl;
CAS號 3001-15-8
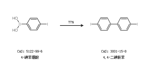
合成路線:
1.通過聯(lián)苯合成4,4-二碘聯(lián)苯,收率約99%;

2.通過4-碘苯硼酸合成4,4-二碘聯(lián)苯,收率約77%;

中華試劑網(wǎng)提醒 合成路線僅供參考