基本信息:
中文名稱 5-氧代-1-(2-苯基乙基)吡咯烷-3-羧酸
英文名稱 5-oxo-1-(2-phenylethyl)pyrrolidine-3-carboxylic acid
英文別名 (+-)-1-Phenethyl-5-oxo-pyrrolidin-3-carbonsaeure;3-Pyrrolidinecarboxylic acid,5-oxo-1-(2-phenylethyl);5-Oxo-1-(2-phenylethyl)-3-pyrrolidinecarboxylic acid;5-oxo-1-phenethyl-pyrrolidine-3-carboxylic acid;5-oxo-1-phenethyl-3-pyrrolidinecarboxylic acid;5-Oxo-1-phenaethyl-pyrrolidin-3-carbonsaeure;
CAS號(hào) 30380-70-2
合成路線:
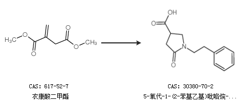
1.通過衣康酸二甲酯合成5-氧代-1-(2-苯基乙基)吡咯烷-3-羧酸

2.通過2-苯乙胺合成5-氧代-1-(2-苯基乙基)吡咯烷-3-羧酸

中華試劑網(wǎng)提醒 合成路線僅供參考