基本信息:
中文名稱 7-氨基-1-甲基-1,2,3,4-四氫喹啉
中文別名 7-氨基-N-甲基-1,2,3,4-四氫喹啉;1-甲基-1,2,3,4-四氫-QUNINOLIN-7-基胺;
英文名稱 1-methyl-3,4-dihydro-2H-quinolin-7-amine
英文別名 7-Amino-1-methyl-1,2,3,4-tetrahydroquinoline;1-methyl-1,2,3,4-tetrahydroquinolin-7-amine;1-methyl-1,2,3,4-tetrahydro-[7]quinolylamine;1-Methyl-1,2,3,4-tetrahydro-[7]chinolylamin;1-methyl-7-1,2,3,4-tetrahydroquinolylamine;QUI033;1-methyl-1,2,3,4-tetrahydro-quinolin-7-ylamine;
CAS號 304690-94-6
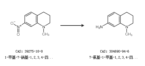
合成路線:
1.通過1-甲基-7-硝基-1,2,3,4-四氫喹啉合成7-氨基-1-甲基-1,2,3,4-四氫喹啉

2.通過1,2,3,4-四氫喹啉合成7-氨基-1-甲基-1,2,3,4-四氫喹啉

中華試劑網(wǎng)提醒 合成路線僅供參考