基本信息:
中文名稱 2,6-二碘-4-硝基苯酚
中文別名 雙碘硝酚;2,6-二碘代-4-硝基苯酚;
英文名稱 2,6-Diiodo-4-nitrophenol
英文別名 DISOPHENOL;Iodofen;2,6-diodo-4-nitrophenol;Syngamix;4-nitro-2,6-diidophenol;2,6-diiod-4-nitrophenol;2,5-DIHYDRO-1-(2-NITROPHENYL)-5-OXO-1H-1,2,4-TRIAZOLE-3-CARBOXYLIC ACID HYDRAZIDE;Ancylol;Disofen;2,6-diiodo-4-nitro-phenol;Phenol,2,6-diiodo-4-nitro;Diisophenol;
CAS號 305-85-1
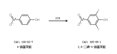
合成路線:
1.通過4-硝基苯酚合成2,6-二碘-4-硝基苯酚,收率約98%;

2.通過4-硝基苯酚合成2,6-二碘-4-硝基苯酚,收率約21%;

中華試劑網(wǎng)提醒 合成路線僅供參考