基本信息:
中文名稱 1-乙基-3-羥基-四氫吡咯
中文別名 N-乙基-3-吡咯烷醇;1-乙基-3-吡咯烷醇;1-乙基-3-羥基四氫吡咯;
英文名稱 1-ethylpyrrolidin-3-ol
英文別名 EINECS 250-310-7;1-Ethyl-3-pyrrolidinol;1-ethyl-pyrrolidin-3-ol;1-Ethyl-3-hydroxypyrrolidine;1-Ethylpyrrolidin-3-ol;3-Hydroxy-1-aethyl-pyrrolidin;1-Aethyl-pyrrolidin-3-ol;1-ETHYL-3-PYRROLIDINOL;3-Pyrrolidinol,1-ethyl;N-ethyl-3-hydroxypyrrolidine;N-ethyl-3-pyrrolidinol;
CAS號(hào) 30727-14-1
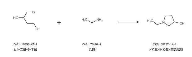
合成路線:
1.通過乙胺合成1-乙基-3-羥基-四氫吡咯

2.通過1,4-二溴-2-丁醇和乙胺合成1-乙基-3-羥基-四氫吡咯

中華試劑網(wǎng)提醒 合成路線僅供參考