基本信息:
中文名稱 瑞米唑侖
中文別名 瑞馬唑侖
英文名稱 Remimazolam
英文別名 methyl (S)-3-(8-bromo-1-methyl-6-(pyridin-2-yl)-4H-benzo[f]imidazo[1,2-a][1,4]diazepin-4-yl)propanoate;methyl 3-[(4S)-8-bromo-1-methyl-6-pyridin-2-yl-4H-imidazo[1,2-a][1,4]benzodiazepin-4-yl]propanoate;IMI030;CNS 7056;CN-7056
CAS號(hào) 308242-62-8
合成路線:
1.通過2-(2-氨基-5-溴-苯甲酰基)吡啶合成瑞米唑侖

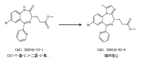
2.通過(3S)-7-溴-2,3-二氫-2-氧代-5-(2-吡啶基)-1H-1,4-苯并二氮卓-3-丙酸甲酯合成瑞米唑侖

中華試劑網(wǎng)提醒 合成路線僅供參考