基本信息:
中文名稱 2-苯硫基吡啶
英文名稱 2-Phenylthiopyridine
英文別名 phenyl 2-pyridinyl sulfide;2-(phenylsulfanyl)pyridine;Phenyl 2-pyridyl sulfide;2-pyridyl phenyl sulfide;
CAS號(hào) 3111-54-4
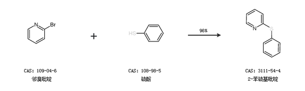
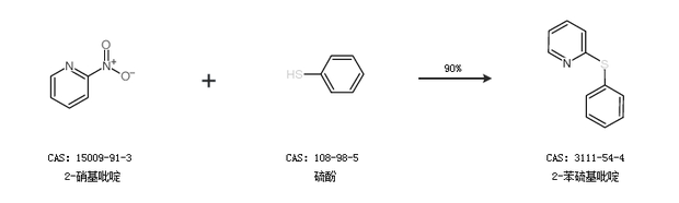
合成路線:
1.通過(guò)鄰溴吡啶和硫酚合成2-苯硫基吡啶,收率約96%;

2.通過(guò)2-硝基吡啶和硫酚合成2-苯硫基吡啶,收率約90%;

中華試劑網(wǎng)提醒 合成路線僅供參考