基本信息:
中文名稱 4-氯-5,7-二氟喹啉-3-甲酸乙酯
中文別名 4-氯-5,7-二氟喹啉-3-羧酸乙酯;
英文名稱 ethyl 1-chloro-6,8-difluoro-2H-quinoxaline-2-carboxylate
英文別名 3-Quinolinecarboxylicacid,4-chloro-5,7-difluoro-,ethyl ester;ethyl 4-chloro-5,7-difluoroquinoline-3-carboxylate;
CAS號 311346-69-7
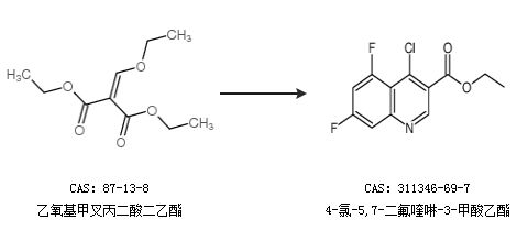
合成路線:
1.通過3,5-二氟苯胺合成4-氯-5,7-二氟喹啉-3-甲酸乙酯

2.通過乙氧基甲叉丙二酸二乙酯合成4-氯-5,7-二氟喹啉-3-甲酸乙酯

中華試劑網(wǎng)提醒 合成路線僅供參考