基本信息:
中文名稱(chēng) 2,3-雙(溴甲基)喹喔啉
中文別名 2,3-雙(溴甲基)喹啉;
英文名稱(chēng) 2,3-BIS(BROMOMETHYL)QUINOXALINE
英文別名 2,3,4-TRIFLUOROPHENYLBORONIC ACID 0.97;2,3-Bis(bromomethyl)-1,4-benzodiazine;Benzoic acid,3-fluoro-5-nitro;2,3-bis-bromomethylquinoxaline;2,4-benzodiazine;QUINOXALINE,2,3-BIS(BROMOMETHYL);2,3-Bis-brommethyl-chinoxalin;EINECS 221-538-4;
CAS號(hào) 3138-86-1
合成路線:
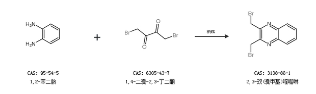
1.通過(guò)1,2-苯二胺和1,4-二溴-2,3-丁二酮合成2,3-雙(溴甲基)喹喔啉,收率約89%;

2.通過(guò)2,3-二甲基喹喔啉、氯仿和溴素合成2,3-雙(溴甲基)喹喔啉

中華試劑網(wǎng)提醒 合成路線僅供參考