基本信息:
中文名稱 4-氨基-6-氯-2-二乙基氨基嘧啶
英文名稱 6-chloro-2-N,2-N-diethylpyrimidine-2,4-diamine
英文別名 6-chloro-N2,N2-diethyl-pyrimidine-2,4-diamine;4-amino-6-chloro-2-diethylaminopyrimidine;4-Amino-6-chlor-2-diaethylamino-pyrimidin;4-Amine-6-chloro-2-diethylaminopyrimidine;
CAS號(hào) 3289-38-1
合成路線:
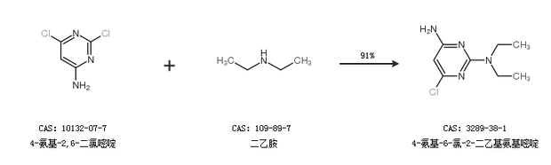
1.通過4-氨基-2,6-二氯嘧啶和二乙胺合成4-氨基-6-氯-2-二乙基氨基嘧啶,收率約91%;

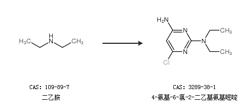
2.通過二乙胺合成4-氨基-6-氯-2-二乙基氨基嘧啶

中華試劑網(wǎng)提醒 合成路線僅供參考