基本信息:
中文名稱 (S)-(-)-2-甲酰胺琥珀酸酐
中文別名 (S)-(-)-2-甲酰氨基琥珀酸酐;
英文名稱 (S)-(-)-2-FORMAMIDOSUCCINIC ANHYDRIDE
英文別名 formyl aspartic acid anhydride;N-formyl aspartic acid anhydride;n-formylaspartic anhydride;N-Formyl-L-aspartic anhydride;(S)-(?)-2-Formamidosuccinic anhydride;N-formyl-L-aspartic acid anhydride;
CAS號 33605-73-1
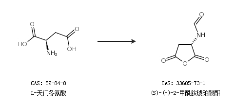
合成路線:
1.通過L-天門冬氨酸合成(S)-(-)-2-甲酰胺琥珀酸酐

中華試劑網(wǎng)提醒 合成路線僅供參考