基本信息:
中文名稱 2’-O-甲基5-碘代尿苷
中文別名 5-碘-2-o-甲基-尿苷;2''-甲氧基-5-碘-尿苷;
英文名稱 2''-(O-METHYL)-5-IODOURIDINE
英文別名 2''-OMe-5-I-Uridine;5-Iodo-2''-O-methyluridin;5-IODO-2''-O-METHYLURIDINE;2''-OMe-5-I-U;Uridine,5-iodo-2''-O-Methyl;
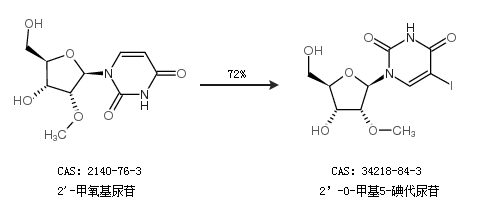
CAS號 34218-84-3
合成路線:
1.通過2''-甲氧基尿苷合成2’-O-甲基5-碘代尿苷,收率約72%;

中華試劑網(wǎng)提醒 合成路線僅供參考