基本信息:
中文名稱 1-氟-5-甲基-2,4-二硝基苯
中文別名 2,4-二硝基-5-氟代甲苯;
英文名稱 1-fluoro-5-methyl-2,4-dinitrobenzene
英文別名 Toluene,3-fluoro-4,6-dinitro;5-Fluor-2,4-dinitro-toluol;1-FLUORO-5-METHYL-2,4-DINITROBENZENE;1-fluoro-5-methyl-2,4-dinitro-benzene;5-fluoro-2,4-dinitrotoluene;2,4-Dinitro-5-fluorotoluene;1-fluoro-2,4-dinitro-5-methyl-benzene;
CAS號(hào) 349-01-9
合成路線:
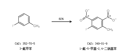
1.通過3-氟甲苯合成1-氟-5-甲基-2,4-二硝基苯,收率約70%;

2.通過3-氟甲苯合成1-氟-5-甲基-2,4-二硝基苯,收率約82%;

中華試劑網(wǎng)提醒 合成路線僅供參考